1. 当前位置:
  2. 首页
  3. >
  4. 研究动态
  5. > 正文

酪蛋白肽-锌螯合物的结构表征、胃肠道消化稳定性及跨上皮运输


东莞理工学院食品营养健康工程与智能化加工研究中心重点开展食物典型组分修饰及其新产品开发、传统食品改良及营养风味强化、特膳食品及其新技术研究等方面的科研与人才培养工作,并针对食品营养、健康、安全等领域的社会热点与焦点,积极开展科普宣传与培训,提升社会服务内涵。


成果介绍

20223月,东莞理工学院化学工程与能源技术学院王波博士(第一作者)在国际食品期刊《International Journal of Food Science and Technology》(IF:3.612, 中科院二区)发表了题为“Structural characterisation, gastrointestinal digestion stability and transepithe-lial transport study of casein peptide–zinc chelate”的研究论文。

内容导读

锌作为一种必需的微量元素,对人体的生长发育和免疫系统功能的完善尤其重要。由于体内没有专门的锌储藏点,需要通过膳食额外补充足够的量来维持人体内锌的平衡状态。而我们膳食结构中的植酸、多酚、皂苷和纤维素等抗营养因子,会与锌结合形成不溶性的复合物,阻碍锌的吸收,导致人体锌缺乏。目前全世界发达国家中大约有22亿人口受到锌缺乏的影响,尤其是婴儿、孕妇、哺乳期的女性以及老年人受影响最严重。

越来越多研究表明,以食源多肽为结构基础构建的肽-锌螯合物由于安全可靠、锌利用率高且具备一定的生物活性等优点而受到广泛的关注。但是由于肽-锌螯合物在胃肠道内稳定性的问题,导致锌的消化吸收和在体内的生物利用率有很大差异。


1 钛-锌螯合物微观结构

2 钛-锌螯合物锌的溶解度及在胃肠道模拟消化中的释放

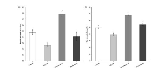
3 钛-锌螯合物的跨上皮转运吸收特性

-锌螯合物作为第四代锌补充剂,在保健品和食品营养学领域受到广泛的关注。在这项工作中,重点研究了牛奶源酪蛋白肽-锌螯合物的结构特点和消化吸收特性。酪蛋白肽中羰基和羧基氧原子、酰胺基团参与了锌离子的螯合,且螯合锌离子后酪蛋白肽的表面负电荷性减弱,导致螯合物聚集成较大颗粒。经体外模拟胃肠消化吸收,仍然有40%的锌离子以肽-锌螯合物的形式存在,这部分螯合物可以通过PepT1路径和细胞旁路跨膜吸收进入血液循环。这项工作为新型锌离子吸收载体的开发和应用提供了理论参考。


作者简介

王波,男,讲师,中国农业大学博士,华南理工大学博士后。主要从事生物活性肽的消化、吸收、代谢以及构效关系研究,主持中国博士后科学基金、粤莞联合基金等项目;以第一作者发表学术论文10余篇,申请和授权国家发明专利7项。



东莞理工科技创新研究院简介

东莞理工科技创新研究院是学校建设高水平理工科大学进行有组织创新的新型研发机构,是推进产学研合作和科技成果转移转化的重要载体,经东莞市民政局批准注册为民办非企业法人单位。

研究院坚持四个面向,以攻克产业核心关键技术为目标,投资近10亿元,建设了以智能制造为主攻方向的十大科技创新平台和公共技术服务平台,建设了62个科研实验室,拥有透射电子显微镜等价值4亿多元具有世界先进水平的仪器设备,研究领域覆盖了机器人与智能装备、人工智能、增材制造、食品健康、新材料、通讯技术等。

健康食品创制与食品营养调控团队

Health Food Innovation and Nutrition Management Group

食品营养健康工程与智能化加工研究中心

Engineering Research Center of Health

Food Design & Nutrition Regulation

中国轻工业健康食品开发与营养调控

重点实验室

Key Laboratory of Healthy Food Development and Nutrition Regulation of China National Light Industry


(撰稿:王   波  责任编辑:黄文晶       稿:陈思谦    审:黎煜新)



上一条:科研速递|陈皮知多少?


下一条:科研速递|葱属植物的研究进展:功能成分、生理活性及其在农业...

Baidu
sogou